Cookies helfen uns bei der Bereitstellung von ControllingWiki. Durch die Nutzung von ControllingWiki erklärst du dich damit einverstanden, dass wir Cookies speichern. Weitere Informationen

Kundenerfolgsrechnung: Unterschied zwischen den Versionen

Aus ControllingWiki

Wechseln zu: Navigation, Suche
Achtung. Sie nutzen eine nicht mehr unterstützte Version des Internet Explorer. Es kann zu Darstellungsfehlern kommen. Bitte ziehen Sie einen Wechsel zu einer neueren Version des Internet Explorer in Erwägung oder wechseln Sie zu einer freien Alternative wie Firefox.
[unmarkierte Version][unmarkierte Version]
Zeile 1: Zeile 1:
 
== IGC-DEFINITION (gekürzt) ==
 
== IGC-DEFINITION (gekürzt) ==
 
'''Kundendeckungsbeitragsrechnung'''<br>
 
'''Kundendeckungsbeitragsrechnung'''<br>
Mit der Kundendeckungsbeitragsrechnung soll dargestellt werden, welchen Deckungsbeitrag ein bestimmter Kunde erbringt, nachdem alle Kosten, die eindeutig, das heißt per Beleg nachweisbar, für diesen Kunden entstanden sind, von den Erlösen abgezogen sind. Kundengruppenbetrachtungen sind wichtige Auswertungen für die Gestaltung der Marktbearbeitung und für die strategische Führung.
+
Mit der Kundendeckungsbeitragsrechnung soll dargestellt werden, welchen [[Deckungsbeitrag]] ein bestimmter Kunde erbringt, nachdem alle Kosten, die eindeutig, das heißt per Beleg nachweisbar, für diesen Kunden entstanden sind, von den Erlösen abgezogen sind. Kundengruppenbetrachtungen sind wichtige Auswertungen für die Gestaltung der Marktbearbeitung und für die strategische Führung.
  
  

Version vom 18. August 2010, 15:48 Uhr

IGC-DEFINITION (gekürzt)

Kundendeckungsbeitragsrechnung
Mit der Kundendeckungsbeitragsrechnung soll dargestellt werden, welchen Deckungsbeitrag ein bestimmter Kunde erbringt, nachdem alle Kosten, die eindeutig, das heißt per Beleg nachweisbar, für diesen Kunden entstanden sind, von den Erlösen abgezogen sind. Kundengruppenbetrachtungen sind wichtige Auswertungen für die Gestaltung der Marktbearbeitung und für die strategische Führung.


Struktur einer Kundendeckungsbeitragsrechnung

Kundendeckungsbeitragsrechnung.png

aus: IGC-Controller-Wörterbuch, International Group of Controlling (Hrsg.)

Zusammenfassung

Jedes Unternehmen muss seine knappen Ressourcen wie Geld und Zeit in den Bereichen einsetzen, in denen sie die größte Wirkung haben. Das gilt auch für den Vertrieb, der mit einem gegebenen Budget den geplanten Erfolg erreichen muss und somit gezwungen ist, vor allem die Arbeitszeit seiner Mitarbeiter und die ihm zur Verfügung stehenden finanziellen Mittel optimal zu verteilen. Welche seiner Kunden das größte Potenzial haben, sagt dem Vertriebsleiter die Kundenerfolgsrechnung.

Was sagt der kundenbezogene Deckungsbeitrag aus?

Praxis-Tipp

Die Bewertung der Kunden ist sicherlich abhängig von der Branche, der Arbeitsweise und der individuellen Einschätzung im jeweiligen Unternehmen. Diese Einschätzung der Vertriebsmitarbeiter ohne Informationsmaterial aus der Kostenrechnung ist nicht optimal. Mit einer Kundenerfolgsrechnung legen Sie die objektive Grundlage, auf der die subjektive Einschätzung aufbauen kann.


Grundlage für die Ermittlung der wichtigsten Kunden eines Unternehmens ist der kundenindividuelle Deckungsbeitrag. Bis zu einer gewissen Stufe kann in der Vollkostenrechnung auch ein kundenbezogener Gewinn errechnet werden. Da bis zur endgültigen Bewertung jedoch erhebliche Umlagen zu machen sind, ist das Ergebnis oft nicht korrekt. Die Deckungsbeitragsbetrachtung ergibt ein besseres Bild von der Situation.

Um den Deckungsbeitrag eines einzelnen Kunden zu berechnen, müssen zunächst die Deckungsbeiträge der einzelnen Aufträge ermittelt werden. Dabei ist in der Vorgehensweise zu unterscheiden, ob es sich um eine Einzel- und Auftragsfertigung oder um eine Serienfertigung handelt.

Einzelauftragsfertigung

Unternehmen, die für jeden Kunden Einzelaufträge erledigen (Bauindustrie, Individualmaschinenbau, Beratung etc.), können durch die einfache Nachkalkulation der Aufträge auch den Deckungsbeitrag des Kunden ermitteln. Die Werte der einzelnen Aufträge eines Kunden werden addiert. Damit ergibt sich der Wert, den der Kunde zum Ergebnis des Unternehmens beigetragen hat.

Praxis-Tipp

In der Praxis ergeben sich oft Probleme in der Bewertung der Aufträge, die über das Jahresende hinaus nicht abgeschlossen sind. Die Kundenerfolgsrechnung wird auf der Basis von Jahreszahlen durchgeführt. Kosten sind bereits angefallen für die Aufträge, der Erlös jedoch noch nicht. Der Kostenrechner muss den Ertrag für das Unternehmen vorsichtig schätzen. Wenn ein Abschluss nach US-GAAP oder IAS aufgestellt wird, können Sie die Werte aus dieser Berechnung entnehmen.


Serienfertigung

In der Serienfertigung ist die Ermittlung der kundenindividuellen Deckungsbeiträge komplexer. Der Kostenrechner arbeitet hier mit Durchschnittswerten des Betrachtungszeitraumes. Der durchschnittlich mit diesem Kunden erzielte Preis wird den durchschnittlichen Kosten des Produkts gegenübergestellt. Der so ermittelte kundenbezogene Deckungsbeitrag wird mit der Menge, die der Kunde gekauft hat, multipliziert. In der Regel wird die Geschäftsbeziehung mehr als nur einen Artikel betreffen, sodass die errechneten Deckungsbeiträge der einzelnen Produkte addiert werden müssen.

Um den wirklichen Beitrag des Kunden zum Erfolg des Unternehmens zu erkennen, müssen vom kundenindividuellen Deckungsbeitrag noch die direkt dem Kunden zuzuordnenden Kosten abgezogen werden. Die Palette der möglichen Kostenarten, die hier berücksichtigt werden müssen, ist umfassend. Der Spielraum für subjektive Einschätzungen ist ebenfalls groß. Dennoch geht kein Weg daran vorbei, diese Kosten in der Kundenerfolgsrechnung zu berücksichtigen. Besonders komplex wird die Berechnung der gewünschten Erfolgszahl, wenn der Kunde sowohl individuell gefertigte Produkte als auch Serienteile bezogen hat. Das ist in vielen Unternehmen, die z. B. Maschinen nach Kundenbedürfnissen fertigen und daneben selbstverständlich Ersatzteile aus der Serienfertigung verkaufen, der Fall. Die direkten Kosten des Kunden müssen in solchen Fällen exakt unterschieden werden. Viele der Aufwendungen werden bereits mit dem Deckungsbeitrag aus der Auftragsfertigung verrechnet.

Exemplarische Kundenerfolgsrechnung.JPG

Tab. 1: Exemplarische Kundenerfolgsrechnung

Wie berechnet sich der kundenbezogene Erlös?

Auf der Habenseite der DB-Rechnung steht der Erlös, der für die Produkte erzielt werden konnte. Dieser ist in aller Regel auch bei Serienfertigern nicht gleich. Manche Preise werden frei verhandelt, auf Preislisten werden Rabatte gegeben und Boni gewährt. Auch Skonti verringern den kundenbezogenen Erlös. Skonto ist eine Form der Finanzierungskosten des Unternehmens. Daher erscheint es vertretbar, diesen Wert in der Kundenerfolgsrechnung nicht bei den Erlösen zu berücksichtigen, sondern bei den kundenindividuellen Kosten. Außerdem ist die richtige Zuordnung der Skontoaufwendungen für einen Kunden auf Serienteile nicht immer möglich, da der Kunde nicht immer mit Skonto zahlt.

Praxis-Tipp

In der Auftragsfertigung sind die Zahlungsbedingungen für den einzelnen Auftrag in der Regel individuell ausgehandelt und Teil der Kalkulation. Hier bietet es sich an, die Finanzierungskosten direkt beim auftragsbezogenen Deckungsbeitrag zu berücksichtigen, da die Nachkalkulation dies bereits tut. Sie können die Werte dann dort übernehmen. Sie müssen jedoch darauf achten, dass die Finanzierungsaufwendungen nicht nochmals in der Gesamtbetrachtung auftauchen. Dort darf nur der Rest, der sich auf ein eventuelles Geschäft mit Serienteilen bezieht, berücksichtigt werden.


Auch ein Bonus kann nicht immer den einzelnen Produkten zugeordnet werden. Wird er als prozentualer Nachlass gewährt, wird der erzielte Erlös um den Prozentsatz reduziert. Werden Boni jedoch in Abhängigkeit von verschiedenen Bedingungen gezahlt, darf eine Verrechnung mit den Preisen nur dann erfolgen, wenn die Bedingungen für alle Produkte gelten. Sonst hat eine Verteilung des Bonus auf alle Produkte den Nachteil, dass bei der Kundenerfolgsanalyse nicht mehr die richtigen Schlüsse gezogen werden.

Rabatte werden bezogen auf die Position oder den gesamten Auftrag gewährt. Positionsrabatte können den Produkten zugeordnet werden, Auftragsrabatte nur dann, wenn alle Produkte gleichmäßig betroffen sind. Wie bei den Boni macht eine unrechtmäßig gleichmäßige Verteilung die Analyse des Kaufverhaltens schwer.

Praxis-Tipp

Schließen Sie einen Kompromiss zwischen dem Aufwand bei der richtigen Zuordnung der Rabatte zu Produkten, Aufträgen und Kunden und der Aussagekraft der Analyse. Nicht immer ist der Aufwand gerechtfertigt.


Von dem kundenindividuellen Erlös werden die Kosten der Produkte abgezogen. Wie gesehen erfolgt das im Falle der Auftragsfertigung mit Werten der Auftragsnachkalkulation. Im Falle der Serienfertigung werden die durchschnittlichen Herstell- oder Beschaffungskosten verwendet. Das Ergebnis sind die kundenindividuellen Deckungsbeiträge vor Berücksichtigung der kundenindividuellen Kosten.

Wie ermittelt man die kundenbezogenen Kosten?

Die Vertriebsmitarbeiter sind meist erstaunt darüber, welche Zuordnung der Kosten zu einzelnen Kunden das Controlling ermöglicht. Ausschlaggebend dafür ist die Erfassung dieser Kosten dort, wo sie entstehen. Je detaillierter dies geschieht, desto genauer kann eine Verteilung auf einzelne Kunden geschehen. Die Kostenarten, die mit vertretbarem Aufwand den einzelnen Kunden zugerechnet werden können, sind vielfältig. Eine Abhängigkeit zur Branche und zur Organisation des Unternehmens besteht. Hier einige Beispiele für kundenbezogene Kosten:

Beispiele für kundenbezogene Kosten.JPG

Tab. 2: Beispiele für kundenbezogene Kosten

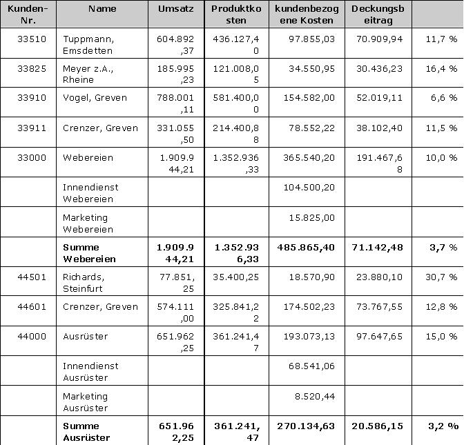
Die Grenzen der direkten Zuordnung werden von der Art der Kosten und dem Aufwand für die Erfassung gesetzt. Aufwendungen für die Marktpflege (Werbung, Messen usw.) können in der Regel nicht zugeordnet werden. Auch wenn die oben aufgeführten Kostenarten nur ungenau direkt zuzuordnen sind, kann die Kundenerfolgsrechnung in der nächsten Stufe zu einer Kundengruppenerfolgsrechnung aufgebaut werden. Die Deckungsbeiträge der einzelnen Kunden einer Gruppe werden addiert und die dieser Gruppe zuzuordnenden Gemeinkosten subtrahiert. Das Ergebnis ist ein kundengruppenbezogener Deckungsbeitrag (s. Tab. 3).

Kundengruppenbezogener Deckungsbeitrag.JPG

Tab. 3: Kundengruppenbezogener Deckungsbeitrag


Welche Kennzahlen für die Kundenerfolgsrechnung gibt es?

Die Aufgabe der Kundenerfolgsrechnung besteht darin, auf Entwicklungen und Potenziale hinzuweisen. Dies geschieht sehr prägnant mit einigen Kennzahlen, die aus den Werten der Berechnungen ermittelt werden. Die ständige Beobachtung der wenigen Kennzahlen für den einzelnen Kunden oder der Kundengruppe verursacht einen vertretbaren Aufwand und liefert schnell Hinweise für notwendiges Eingreifen.

Kennzahlen aus der Kundenerfolgsrechnung.JPG

Tab. 4: Kennzahlen aus der Kundenerfolgsrechnung

Um die Beobachtung der Kunden noch weiter zu vereinfachen, können diese anhand der Kennziffern in eine Reihenfolge gebracht werden, die auf die Wichtigkeit der Kunden schließen lässt. Verbreitet ist das Instrument der ABC-Analyse, mit der Vertriebsmitarbeiter eine signifikante Kennzahl zur Beurteilung erhalten. Die Klassifizierung darf sich jedoch nicht eindimensional nur auf eine Kennziffer (z. B. Umsatz) beziehen. Auf die Ziele der Vertriebsabteilung ausgerichtet müssen mehrere Kennziffern miteinander verbunden werden. Je nach Einordnung des Kunden erzielen abgestimmte Maßnahmen den gewünschten Erfolg:

Vertriebsmaßnahmen nach ABC-Klasse.JPG

Tab. 5: Vertriebsmaßnahmen nach ABC-Klasse

Dieser Maßnahmenkatalog zeigt auch, dass die Einordnung der Kunden in die Klassen nicht starr aufgrund der Reihenfolge verschiedener Kriterien erfolgen darf. Ein Neukunde ist beispielsweise in der Regel zunächst ein C-Kunde. Mit den für diese Kundenklasse aufgeführten Maßnahmen wird er sich nicht zu einem B- oder A-Kunden entwickeln. Der Vertrieb muss den neuen Kunden in eine der bekannten Klassen einordnen, damit er die Chance bekommt, sich entsprechend zu entwickeln. Auch die Einrichtung einer eigenen Klasse für Neukunden hat sich in der Praxis bewährt. Der Controller muss dabei regelmäßig feststellen, ob die Zuordnung noch stimmt oder ob eine weitere Entwicklung nicht zu erwarten ist.

Welche Informationsquellen stehen zur Verfügung?

Voraussetzung für die gewünschten umfangreichen Aussagen sind möglichst detaillierte Informationen. In vielen Fällen werden zusätzliche Erfassungen (manuell oder automatisch) notwendig. Wenn z. B. die Betreuungskosten des Kunden ermittelt werden, müssen vorher die entsprechenden Daten aus den Besuchsberichten der Außendienstmitarbeiter oder aus den Aufschreibungen der Innendienstler vorhanden sein. Neben der manuellen Aufschreibung gibt es für diese Tätigkeiten auch Automatiken, z. B. die digitale Form der Besuchsberichte.

Ein großer Teil der benötigten Informationen wird in der Buchhaltung erfasst. Die Anforderungen an den Grad der Detaillierung bei der Verbuchung steigen erheblich. So werden z. B. Kosten für ein Kundenseminar nicht mehr auf einige wenige Kostenarten gebucht. Vielmehr muss eine Aufteilung auf die beteiligten Kunden erfolgen. Neben der Kostenarten- und der Kostenträgerrechnung führt die Kundenerfolgsrechnung zu einer zusätzlichen Dimension, die für viele Kostenarten eine erhebliche Ausweitung des Buchungsaufwands nach sich zieht.

Praxis-Tipp

Reduzieren Sie die zusätzliche Erfassungsarbeit durch folgende Vorgehensweisen: Greifen Sie bereits frühzeitig in die Geschäftsprozesse ein und versuchen Sie, die notwendige Zuordnung zu den Kunden automatisch aus Stammdaten zu generieren (z. B. bei der Bestellung). Buchen Sie komplexe Verteilungen manuell in der Kostenrechnung (z. B. Katalogversandkosten) und entlasten Sie so die Buchhaltung. Nehmen Sie Spezialauswertungen vollständig aus dem Kostenrechnungssystem und damit auch aus der Buchhaltung heraus und erledigen Sie die Aufgabe separat. Stellen Sie dabei die Übereinstimmung mit den Daten aus der Buchhaltung sicher.

Wie berechnet man den Zukunftswert eines Kunden?

Die eigentliche Kundenerfolgsrechnung arbeitet mit Vergangenheitswerten. Um die zukünftige Entwicklung einzubeziehen, können die gleichen Berechnungen mit Planwerten durchgeführt werden. In der monatlichen Abweichungsanalyse zeigen sich dann Fehlentwicklungen, die behoben werden können. Gleichzeitig wird erreicht, dass das Potenzial der Kunden berücksichtigt wird. Bestehende Kunden mit guten Deckungsbeiträgen würden sonst vor neuen Kunden bevorzugt, die noch aufgebaut werden, jedoch das Potenzial für sehr gute Partner haben. Dies zu erkennen ist Aufgabe der Vertriebsmitarbeiter. Der Controller hilft bei der Einschätzung durch die Vorgabe z. B. von Beurteilungskriterien.


Ersteinstellender Autor

Dipl.-Kfm. Reinhard Bleiber ist seit vielen Jahren in der kaufmännischen Verantwortung mittelständischer Unternehmen tätig

Quellen

IGC-Controller-Wörterbuch, International Group of Controlling (Hrsg.), 4. Auflage, Schäffer-Poeschel, Stuttgart, 2010

[1] - Haufe Controlling Office